measurement overview (28.04.02 11:00:00 - 02.05.02 12:00:00)

datafile has 45 columns
logfile
measurement information


[eps][pdf]

[eps][pdf]

[eps][pdf]

helium level (28.04.02 11:00:00 - 02.05.02 12:00:00)


[eps][pdf]

[eps][pdf]

part #1 (28.04.02 12:00:00 - 29.04.02 09:00:00)


first set of slow charging

[eps][pdf]

[eps][pdf]

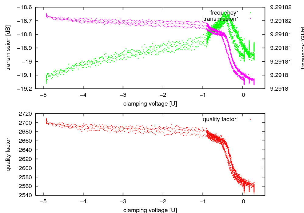
AB (3 - 6) [eps][pdf]

AB (9 - 13) [eps][pdf]

AB (14 - 16) [eps][pdf]

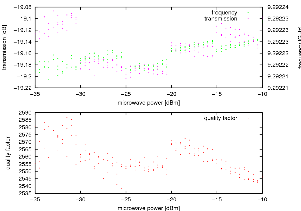
PO (17 - 17) [eps][pdf]

part #2 (29.04.02 15:30:00 - 30.04.02 14:00:00)


2nd set of slow charging

[eps][pdf]

[eps][pdf]

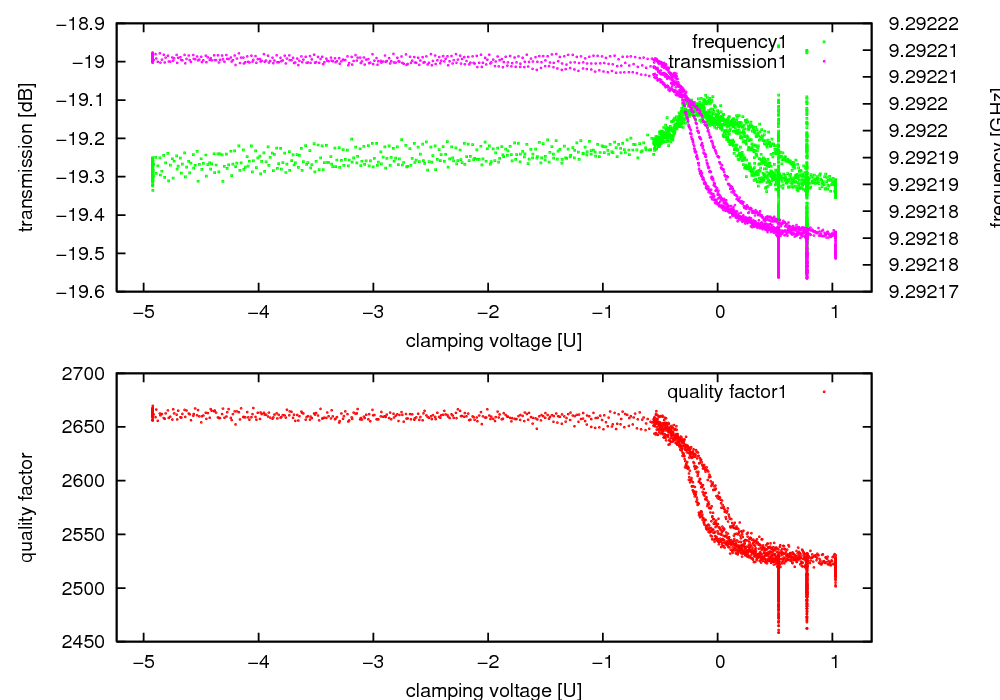
AB (26 - 41) [eps][pdf]

AB (44 - 55) [eps][pdf]

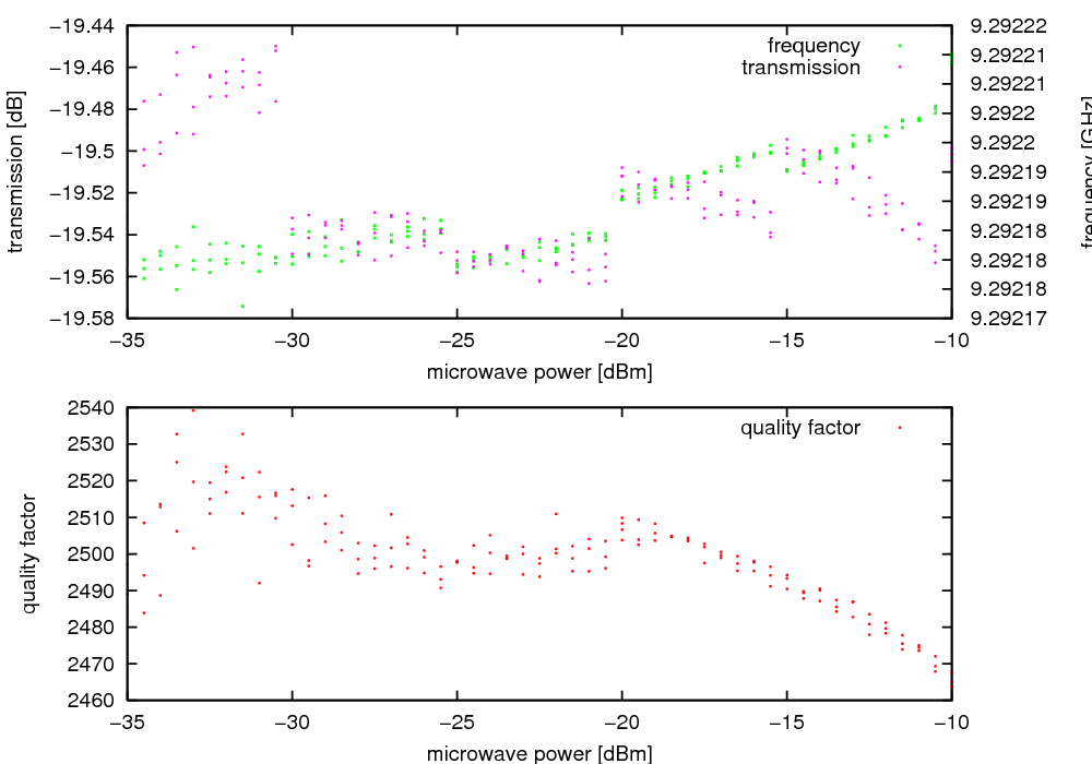
PO (56 - 56) [eps][pdf]

part #3 (30.04.02 18:30:00 - 01.05.02 22:00:00)


3rd set of slow charging

[eps][pdf]

[eps][pdf]

AB (63 - 84) [eps][pdf]

AB (87 - 93) [eps][pdf]

AB (63 - 63) [eps][pdf]

PO (64 - 64) [eps][pdf]

AB (66 - 66) [eps][pdf]

PO (67 - 67) [eps][pdf]

AB (69 - 69) [eps][pdf]

PO (70 - 70) [eps][pdf]

AB (93 - 93) [eps][pdf]

PO (94 - 94) [eps][pdf]

part #4 (01.05.02 22:00:00 - 02.05.02 08:00:00)


very slow charging

[eps][pdf]

[eps][pdf]

AB (97 - 97) [eps][pdf]