measurement overview (19.02.02 12:00:00 - 20.02.02 09:00:00)

datafile has 45 columns
logfile
measurement information
substrate #57 information


[eps][pdf]

[eps][pdf]

[eps][pdf]

helium level (19.02.02 12:00:00 - 20.02.02 09:00:00)


[eps][pdf]

[eps][pdf]

part #1 (19.02.02 13:50:00 - 19.02.02 17:15:00)


try to charge thin film

[eps][pdf]

[eps][pdf]

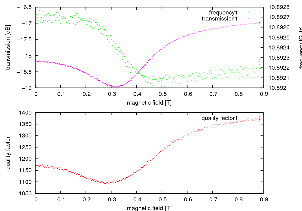
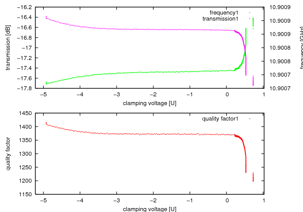
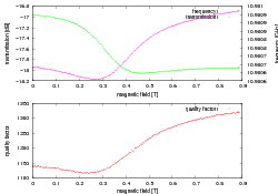
AB (5 - 5) [eps][pdf]

part #2 (19.02.02 17:14:00 - 19.02.02 17:41:00)


first CR

[eps][pdf]

[eps][pdf]

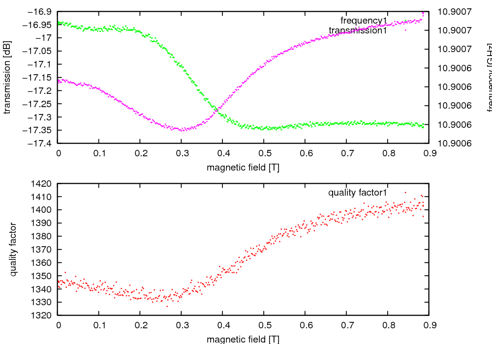
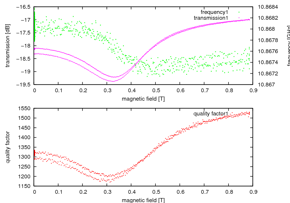
CR (6 - 7) [eps][pdf]

part #3 (19.02.02 17:40:30 - 19.02.02 18:42:30)


charge with fixed Uclamp and CR

[eps][pdf]

[eps][pdf]

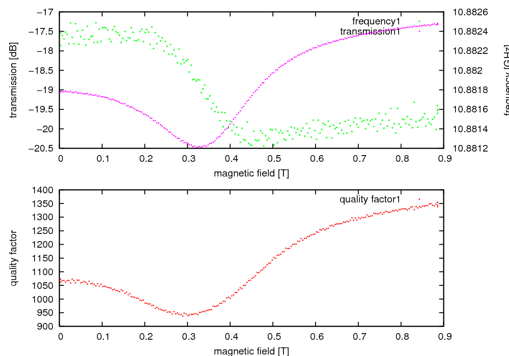
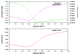
CR (10 - 10) [eps][pdf]

part #4 (19.02.02 18:42:00 - 19.02.02 23:00:00)


slow charging 1

[eps][pdf]

[eps][pdf]

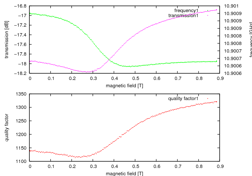
AB (16 - 16) [eps][pdf]

part #5 (19.02.02 22:45:00 - 20.02.02 07:30:00)


slow charging 2

[eps][pdf]

[eps][pdf]

AB (17 - 17) [eps][pdf]

AB (16 - 17) [eps][pdf]

part #6 (20.02.02 12:30:00 - 20.02.02 16:41:30)


slow charging and CR

[eps][pdf]

[eps][pdf]

AB (20 - 20) [eps][pdf]

CR (21 - 21) [eps][pdf]

part #7 (20.02.02 16:55:00 - 20.02.02 20:20:30)


slow charging and CR

[eps][pdf]

[eps][pdf]

AB (24 - 24) [eps][pdf]

CR (25 - 25) [eps][pdf]

part #8 (20.02.02 20:36:00 - 21.02.02 00:04:00)


slow charging and CR

[eps][pdf]

[eps][pdf]

AB (29 - 29) [eps][pdf]

CR (30 - 30) [eps][pdf]

part #9 (21.02.02 01:25:00 - 21.02.02 11:51:00)


slow charging, sweep U to 0V and CR

[eps][pdf]

[eps][pdf]

AB (34 - 34) [eps][pdf]

AB (35 - 35) [eps][pdf]

CR (36 - 36) [eps][pdf]

part #10 (21.02.02 12:04:00 - 21.02.02 16:11:00)


slow charging, CR and relaxation

[eps][pdf]

[eps][pdf]

AB (40 - 40) [eps][pdf]

CR (41 - 42) [eps][pdf]

part #11 (21.02.02 19:45:00 - 22.02.02 01:02:30)


slow charging, CR and relaxation

[eps][pdf]

[eps][pdf]

AB (47 - 47) [eps][pdf]

CR (48 - 48) [eps][pdf]

part #12 (22.02.02 01:36:00 - 22.02.02 12:10:30)


very slow charging and CR

[eps][pdf]

[eps][pdf]

AB (52 - 52) [eps][pdf]

CR (53 - 53) [eps][pdf]

part #13 (22.02.02 12:25:00 - 22.02.02 14:35:00)


charging

[eps][pdf]

[eps][pdf]

AB (57 - 57) [eps][pdf]

part #14 (22.02.02 15:50:00 - 22.02.02 18:45:00)


slow charging and CR

[eps][pdf]

[eps][pdf]

AB (60 - 60) [eps][pdf]

CR (61 - 61) [eps][pdf]

part #15 (22.02.02 18:45:00 - 23.02.02 09:20:00)


very slow charging

[eps][pdf]

[eps][pdf]

AB (64 - 64) [eps][pdf]