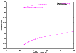
measurement overview (17.09.01 11:00:00 - 18.09.01 15:31:52)

datafile has 45 columns
logfile
measurement information
substrate #39 information


[eps][pdf]

[eps][pdf]

[eps][pdf]

helium level (17.09.01 11:00:00 - 18.09.01 15:31:52)


[eps][pdf]

[eps][pdf]

part #1 (17.09.01 14:14:00 - 17.09.01 14:27:00)


try to charge bulk helium

[eps][pdf]

[eps][pdf]

part #2 (17.09.01 14:48:00 - 17.09.01 17:55:00)


try to charge intermediate region between bulk and film

[eps][pdf]

[eps][pdf]

part #3 (17.09.01 18:15:00 - 18.09.01 00:24:00)


try to charge thin film manually

[eps][pdf]

[eps][pdf]

part #4 (18.09.01 00:24:00 - 18.09.01 10:54:00)


thin film charging overnight

[eps][pdf]

[eps][pdf]

part #5 (18.09.01 10:54:00 - 18.09.01 15:00:00)


more thin film charging

[eps][pdf]

[eps][pdf]