measurement overview (30.08.01 14:40:00 - 01.09.01 05:30:00)

datafile has 43 columns
logfile
measurement information
substrate #37 information


[eps][pdf]

[eps][pdf]

helium level (30.08.01 14:40:00 - 01.09.01 05:30:00)


[eps][pdf]

[eps][pdf]

part #1 (30.08.01 17:10:00 - 30.08.01 18:35:00)


charging bulk helium

[eps][pdf]

[eps][pdf]

part #2 (30.08.01 22:47:00 - 31.08.01 08:52:00)


charging helium film

[eps][pdf]

[eps][pdf]

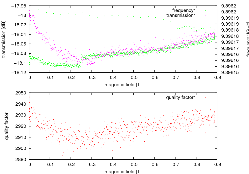
AB on thin film (15 - 27) [eps][pdf]

part #3 (31.08.01 10:30:00 - 31.08.01 17:57:00)


try to charge thin film

[eps][pdf]

[eps][pdf]

part #4 (31.08.01 17:57:00 - 31.08.01 18:38:55)


do CR-sweep

[eps][pdf]

[eps][pdf]

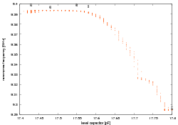
CR on thin film (35 - 36) [eps][pdf]

part #5 (31.08.01 21:30:00 - 01.09.01 05:30:00)


charge and discharge on thin film while pumping the cell

[eps][pdf]

[eps][pdf]