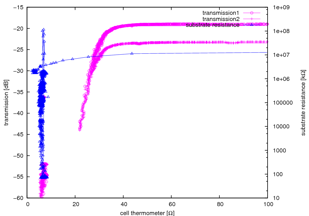
measurement overview (28.10.02 17:00:00 - 30.10.02 02:00:00)

datafile has 46 columns
logfile


[eps][pdf]

[eps][pdf]

[eps][pdf]

helium level (28.10.02 17:00:00 - 30.10.02 02:00:00)


[eps][pdf]

[eps][pdf]

part #1 (28.10.02 17:00:00 - 28.10.02 23:20:00)


how long do electrons on bulk helium stay

[eps][pdf]

[eps][pdf]

part #2 (28.10.02 23:15:00 - 29.10.02 09:10:00)


filament calibration on bulk

[eps][pdf]

[eps][pdf]

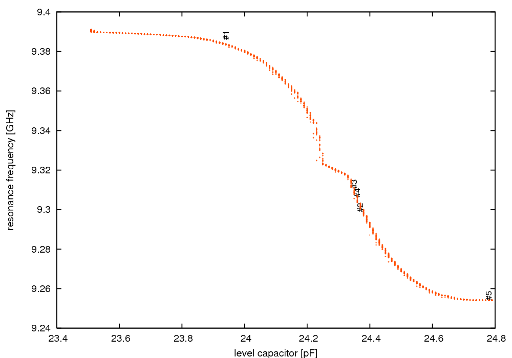
part #3 (29.10.02 11:00:00 - 29.10.02 17:00:00)


CR on bulk

[eps][pdf]

[eps][pdf]

part #4 (29.10.02 17:00:00 - 29.10.02 19:30:00)


[eps][pdf]

[eps][pdf]

part #5 (29.10.02 19:30:00 - 30.10.02 02:00:00)


[eps][pdf]

[eps][pdf]