measurement overview (09.10.02 11:45:00 - 10.10.02 07:10:00)

datafile has 46 columns
logfile
measurement information
substrate #74 information


[eps][pdf]

[eps][pdf]

[eps][pdf]

helium level (09.10.02 11:45:00 - 10.10.02 07:10:00)


[eps][pdf]

[eps][pdf]

part #1 (09.10.02 14:25:00 - 09.10.02 15:50:00)


try to find instability

[eps][pdf]

[eps][pdf]

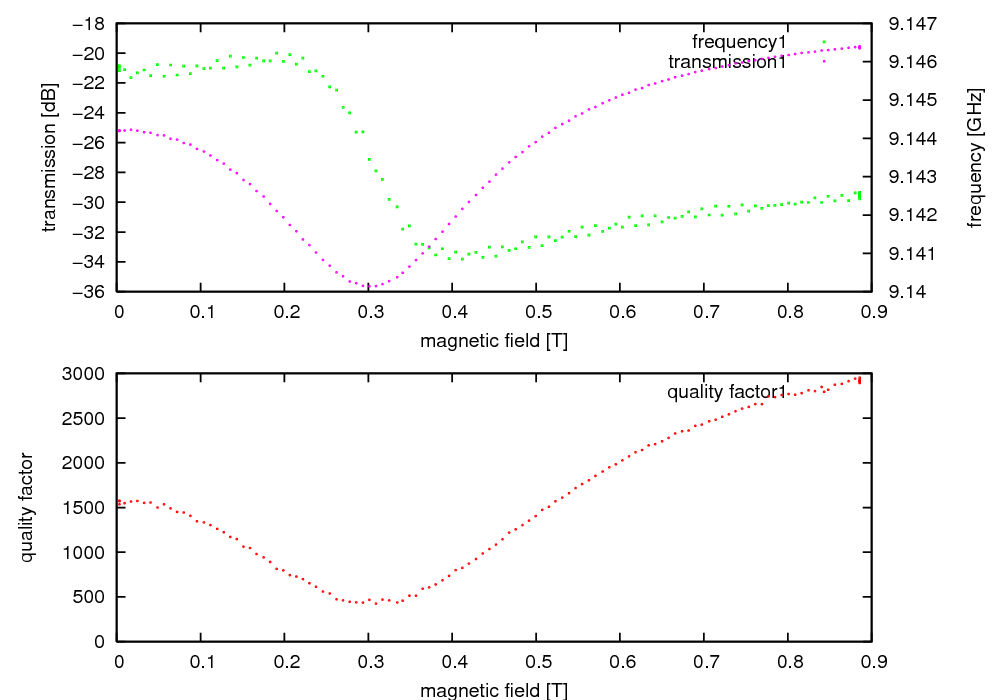
AB till instable (7 - 7) [eps][pdf]

AB2 till instable (7 - 7) [eps][pdf]

part #2 (09.10.02 15:45:00 - 09.10.02 18:30:00)


make CR and powersweep at different densities

[eps][pdf]

[eps][pdf]

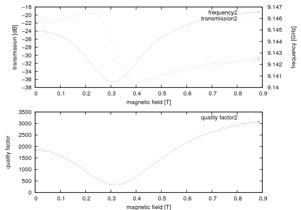
CR at instability (8 - 8) [eps][pdf]

CR2 at instability (8 - 8) [eps][pdf]

PO at high density (10 - 10) [eps][pdf]

PO at low density (37 - 37) [eps][pdf]

PO at low density but high voltage (49 - 49) [eps][pdf]

part #3 (09.10.02 19:30:00 - 10.10.02 07:10:00)


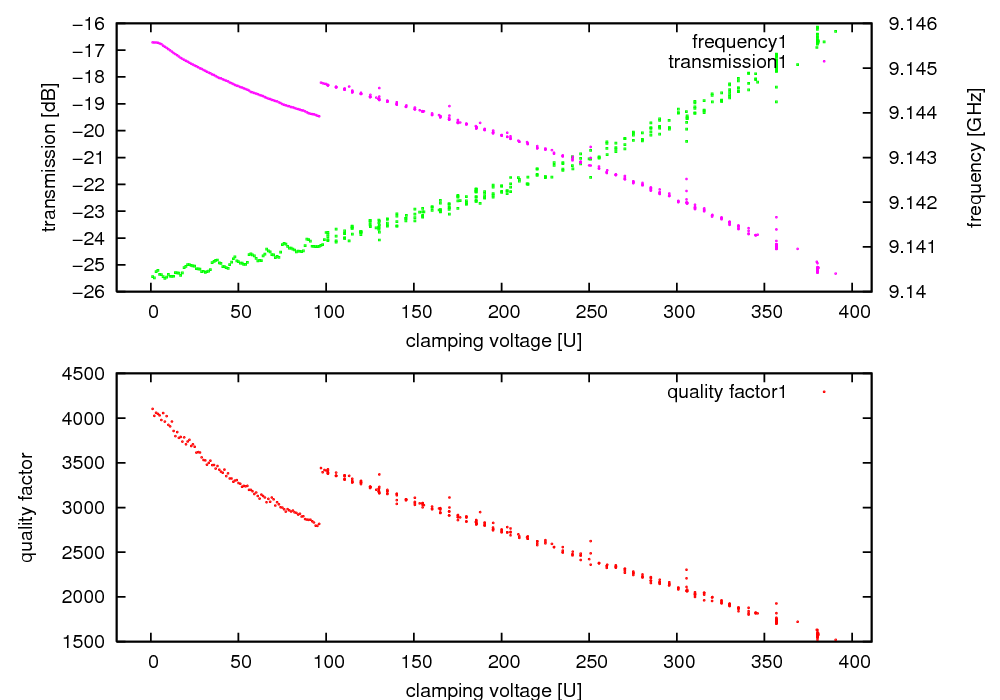
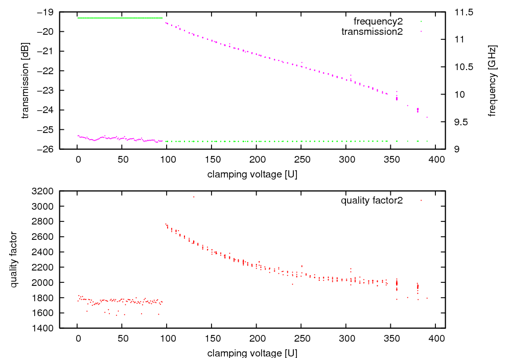
do charge calibration at 100V

[eps][pdf]

[eps][pdf]