measurement overview (12.05.02 12:00:00 - 14.05.02 00:00:00)

datafile has 45 columns
logfile
measurement information
substrate #68 information


[eps][pdf]

[eps][pdf]

[eps][pdf]

helium level (12.05.02 12:00:00 - 14.05.02 00:00:00)


[eps][pdf]

[eps][pdf]

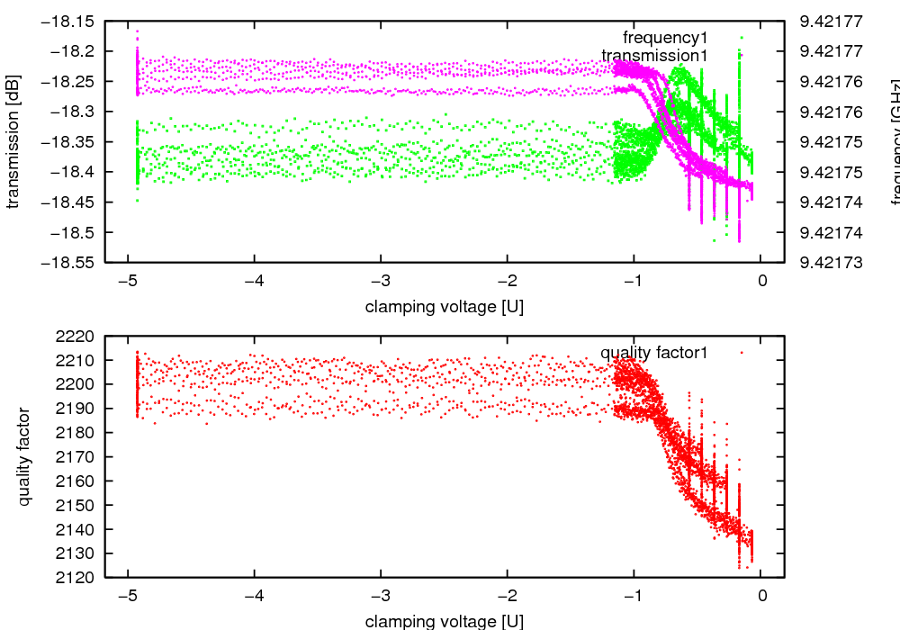
part #1 (13.05.02 00:30:00 - 13.05.02 14:00:00)


[eps][pdf]

[eps][pdf]

AB (15 - 30) [eps][pdf]

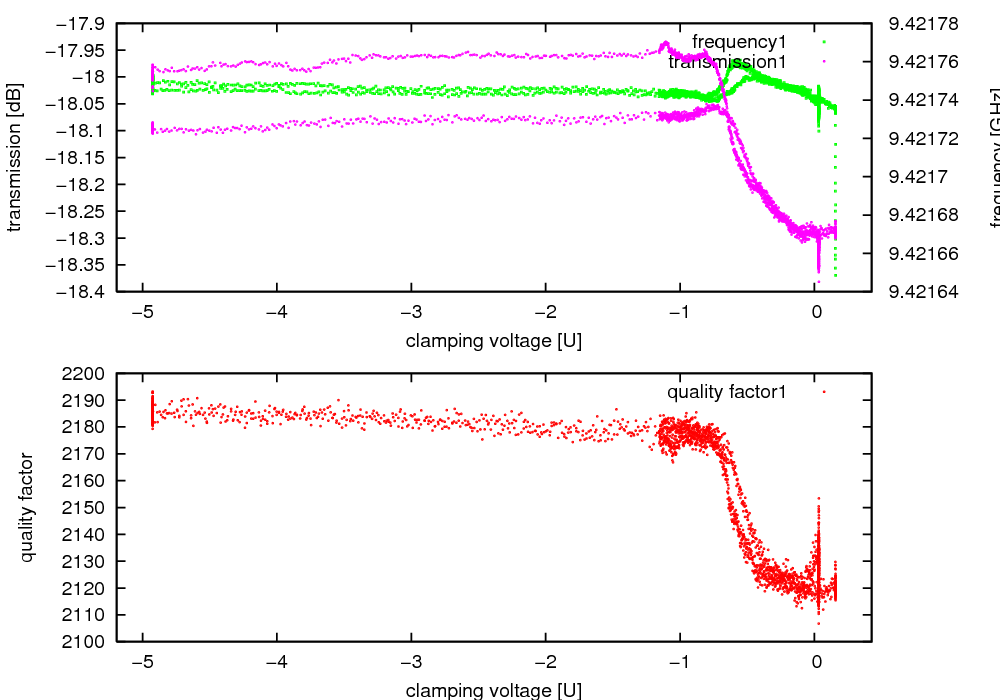
part #2 (13.05.02 15:30:00 - 14.05.02 00:00:00)


[eps][pdf]

[eps][pdf]

AB (38 - 41) [eps][pdf]