measurement overview (11.04.02 11:00:00 - 13.04.02 18:00:00)

datafile has 45 columns
logfile
measurement information
substrate #62 information


[eps][pdf]

[eps][pdf]

[eps][pdf]

helium level (11.04.02 11:00:00 - 13.04.02 18:00:00)


[eps][pdf]

[eps][pdf]

part #1 (11.04.02 11:40:00 - 11.04.02 19:20:00)


charge thin film, do a power sweep and CR measurement

[eps][pdf]

[eps][pdf]

AB (2 - 2) [eps][pdf]

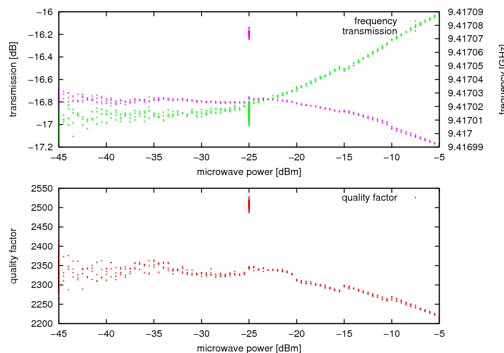
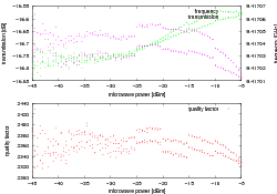
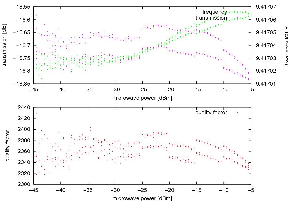
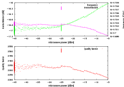
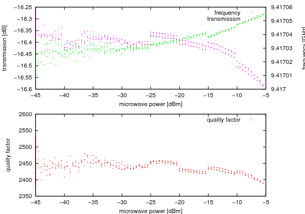
PO (4 - 5) [eps][pdf]

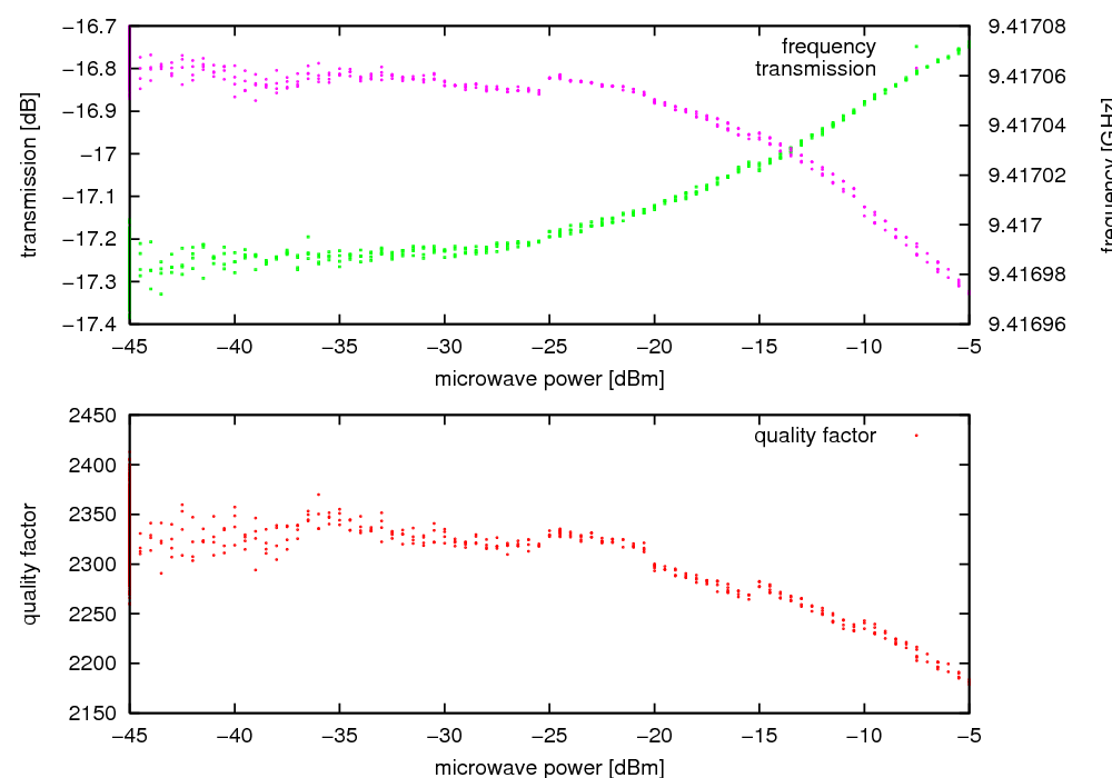
PO (7 - 16) [eps][pdf]

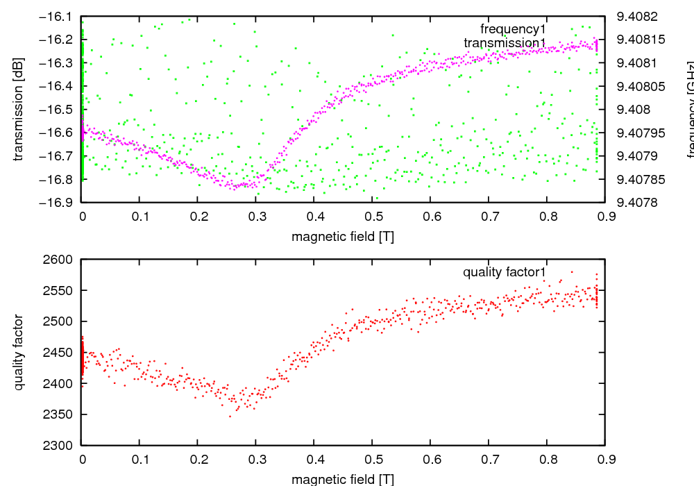
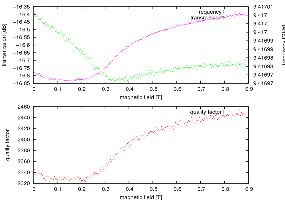
CR (8 - 9) [eps][pdf]

part #2 (11.04.02 19:20:00 - 12.04.02 00:25:00)


tries

[eps][pdf]

[eps][pdf]

part #3 (12.04.02 02:15:00 - 12.04.02 05:00:00)


charge thinner film, do power sweep and remove electrons

[eps][pdf]

[eps][pdf]

AB (18 - 18) [eps][pdf]

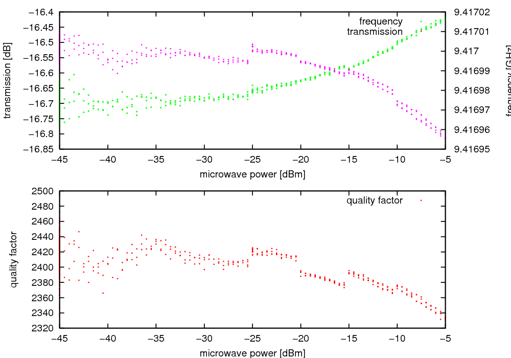
PO (19 - 19) [eps][pdf]

part #4 (12.04.02 08:45:00 - 12.04.02 13:10:00)


charge again, do CR on thinner film

[eps][pdf]

[eps][pdf]

AB (20 - 20) [eps][pdf]

CR (21 - 21) [eps][pdf]

PO (24 - 24) [eps][pdf]

part #5 (12.04.02 13:05:10 - 12.04.02 14:45:00)


charge to liquid electron density only

[eps][pdf]

[eps][pdf]

AB (25 - 25) [eps][pdf]

PO (26 - 26) [eps][pdf]

part #6 (12.04.02 14:45:00 - 12.04.02 19:40:00)


charge to higher density

[eps][pdf]

[eps][pdf]

AB (28 - 28) [eps][pdf]

PO (29 - 29) [eps][pdf]

part #7 (12.04.02 21:30:00 - 13.04.02 01:00:00)


charge again

[eps][pdf]

[eps][pdf]

AB (32 - 32) [eps][pdf]

PO (33 - 33) [eps][pdf]

part #8 (13.04.02 09:15:00 - 13.04.02 15:00:00)


charge with constant U and different filament power

[eps][pdf]

[eps][pdf]