measurement overview (26.03.02 13:00:00 - 27.03.02 05:00:00)

datafile has 45 columns
logfile
measurement information
substrate #61 information


[eps][pdf]

[eps][pdf]

[eps][pdf]

helium level (26.03.02 13:00:00 - 27.03.02 05:00:00)


[eps][pdf]

[eps][pdf]

part #1 (26.03.02 13:08:00 - 26.03.02 15:19:00)


first thin film charging

[eps][pdf]

[eps][pdf]

part #2 (26.03.02 15:19:00 - 26.03.02 18:34:00)


second charging and CR

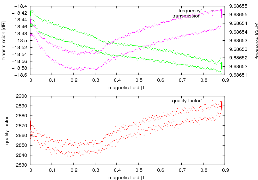
[eps][pdf]

[eps][pdf]

CR on thin film (7 - 8) [eps][pdf]

part #3 (26.03.02 18:34:00 - 26.03.02 20:52:00)


strange charging

[eps][pdf]

[eps][pdf]

part #4 (26.03.02 20:52:00 - 27.03.02 00:20:00)


strange charging 2

[eps][pdf]

[eps][pdf]

part #5 (27.03.02 00:20:00 - 27.03.02 06:45:00)


strange charging 3

[eps][pdf]

[eps][pdf]