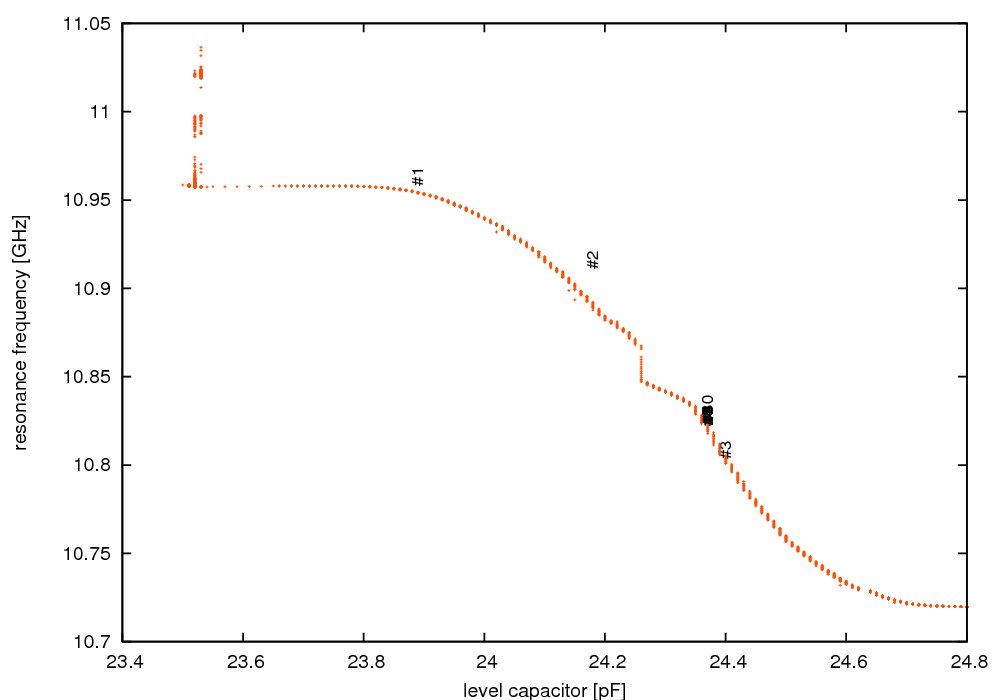
measurement overview (13.02.02 10:00:00 - 14.02.02 05:00:00)

datafile has 45 columns
logfile
measurement information
substrate #56 information


[eps][pdf]

[eps][pdf]

[eps][pdf]

helium level (13.02.02 10:00:00 - 14.02.02 05:00:00)


[eps][pdf]

[eps][pdf]

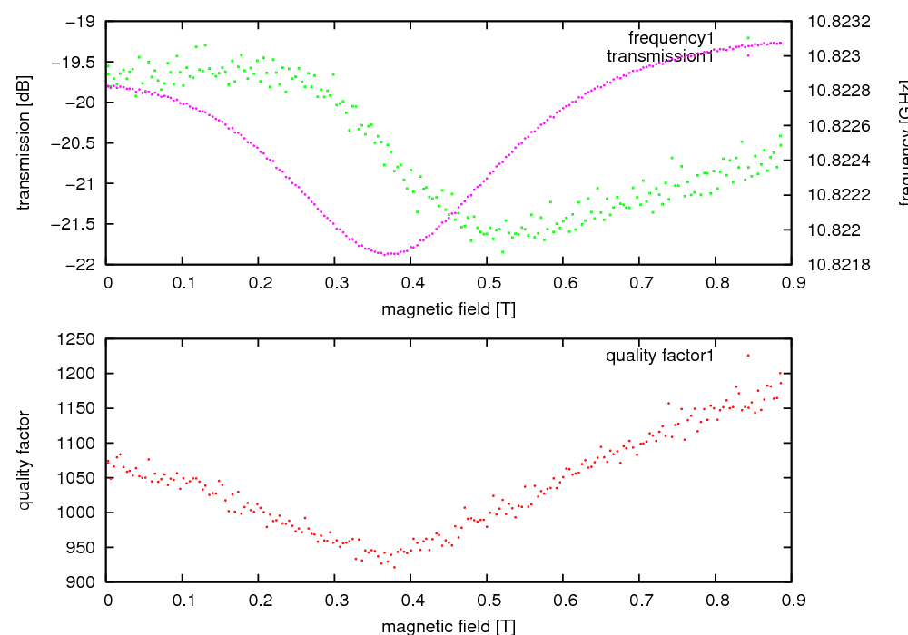
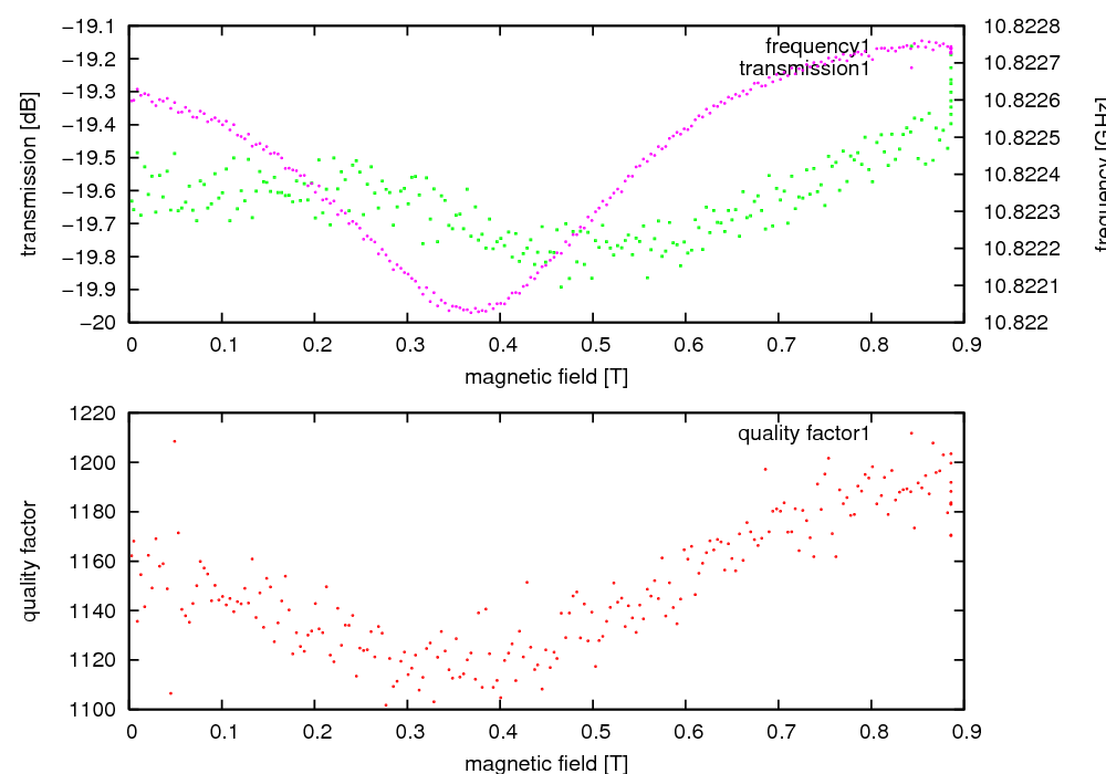
part #1 (13.02.02 11:06:00 - 13.02.02 15:59:00)


first try to charge thin film

[eps][pdf]

[eps][pdf]

part #2 (13.02.02 16:54:00 - 13.02.02 17:19:00)


2nd try

[eps][pdf]

[eps][pdf]

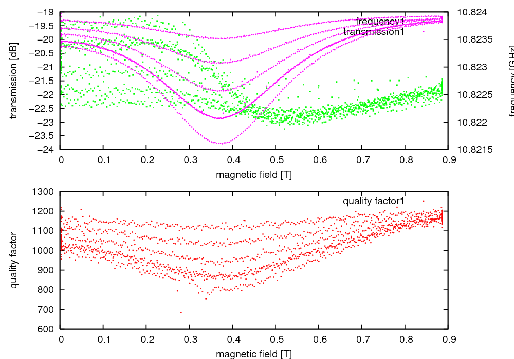
part #3 (13.02.02 17:40:00 - 13.02.02 19:14:00)


charge different bulk levels

[eps][pdf]

[eps][pdf]

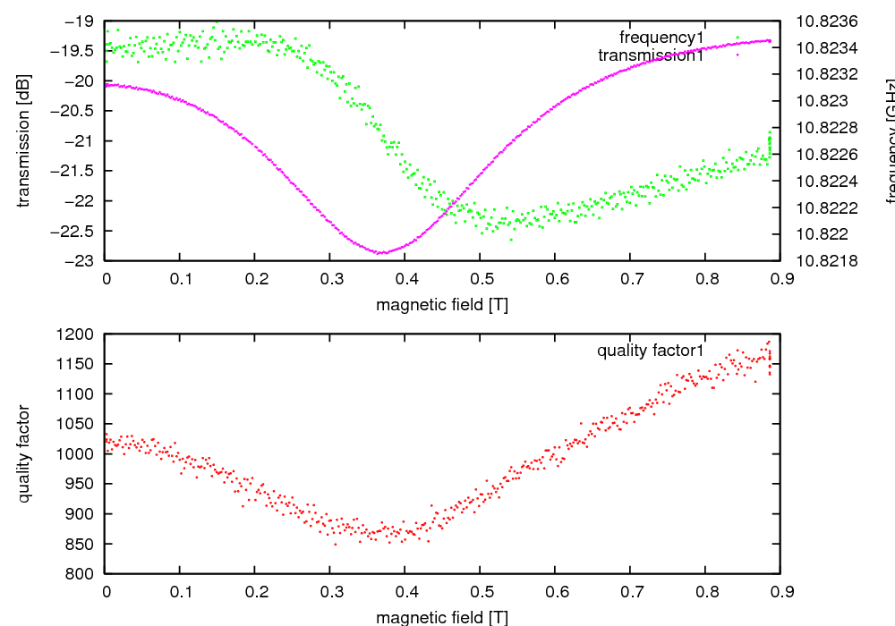
part #4 (13.02.02 19:01:00 - 13.02.02 19:36:09)


CR on bulk (instability voltage)

[eps][pdf]

[eps][pdf]

CR (14 - 14) [eps][pdf]

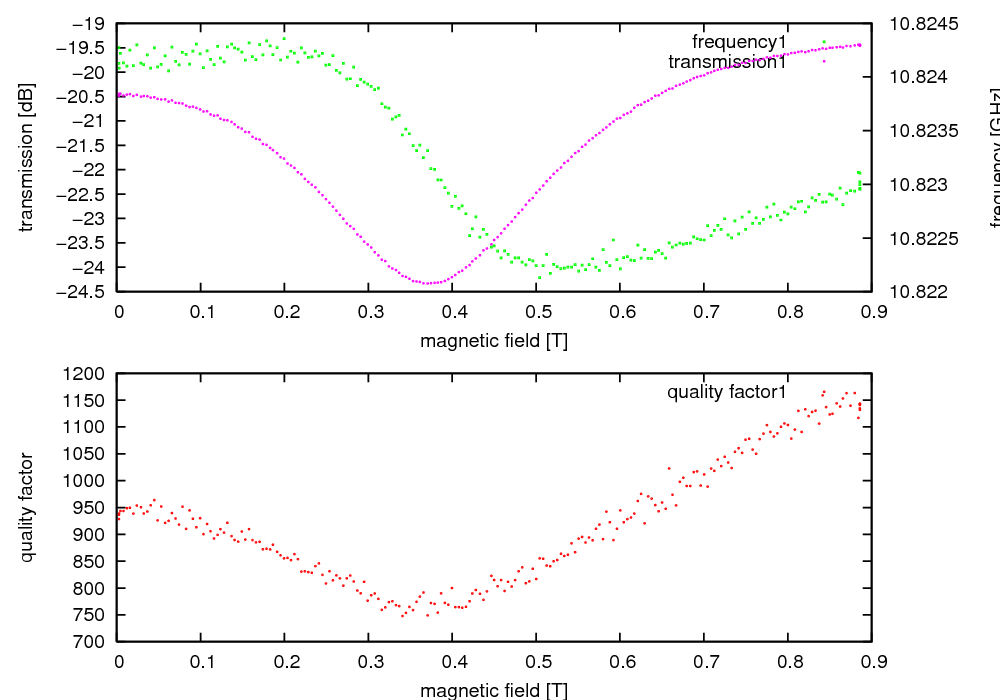
part #5 (13.02.02 19:36:09 - 13.02.02 20:03:54)


CR on bulk

[eps][pdf]

[eps][pdf]

CR (19 - 19) [eps][pdf]

part #6 (13.02.02 20:03:54 - 13.02.02 20:25:47)


CR on bulk

[eps][pdf]

[eps][pdf]

CR (22 - 22) [eps][pdf]

part #7 (13.02.02 20:25:47 - 13.02.02 21:08:24)


CR on bulk

[eps][pdf]

[eps][pdf]

CR (25 - 25) [eps][pdf]

part #8 (13.02.02 21:08:24 - 13.02.02 21:32:52)


CR on bulk

[eps][pdf]

[eps][pdf]

CR (28 - 28) [eps][pdf]

part #9 (13.02.02 21:32:52 - 13.02.02 21:58:21)


CR on bulk

[eps][pdf]

[eps][pdf]

CR (31 - 31) [eps][pdf]

CR (19 - 31) [eps][pdf]

part #10 (13.02.02 21:58:21 - 13.02.02 22:12:43)


try different pulses

[eps][pdf]

[eps][pdf]