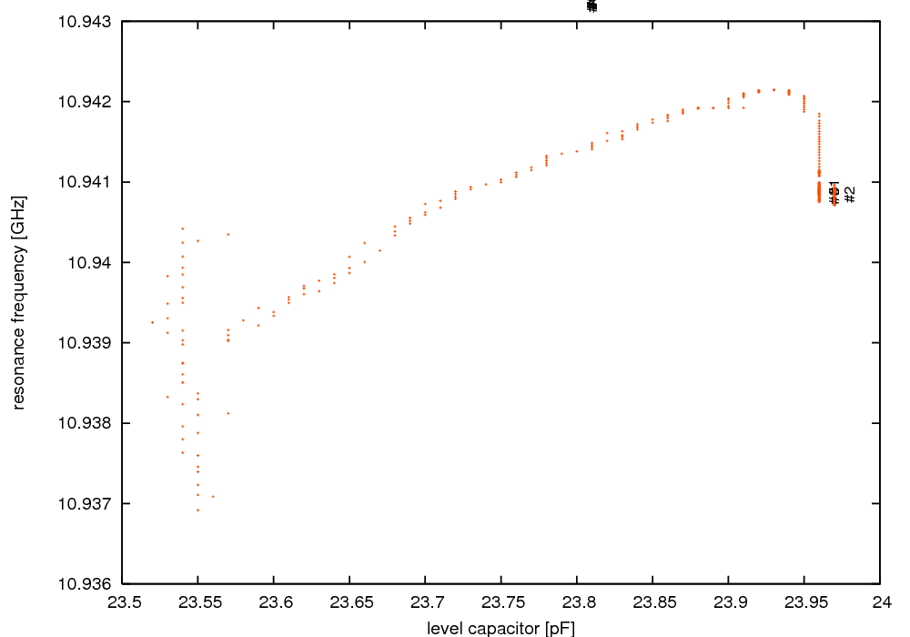
measurement overview (08.02.02 11:00:00 - 10.02.02 18:00:00)

datafile has 45 columns
logfile
measurement information
substrate #55 information


[eps][pdf]

[eps][pdf]

[eps][pdf]

helium level (08.02.02 11:00:00 - 10.02.02 18:00:00)


[eps][pdf]

[eps][pdf]

part #1 (07.02.02 19:00:00 - 08.02.02 06:00:00)


first charging attempts

[eps][pdf]

[eps][pdf]

part #2 (08.02.02 11:00:00 - 08.02.02 18:30:00)


charging the film works up to high densities

[eps][pdf]

[eps][pdf]

AB (4 - 4) [eps][pdf]

AB (7 - 7) [eps][pdf]

part #3 (08.02.02 18:30:00 - 08.02.02 22:00:00)


refilling the cryostat

[eps][pdf]

[eps][pdf]

part #4 (08.02.02 22:00:00 - 09.02.02 02:15:00)


try to charge thinner film

[eps][pdf]

[eps][pdf]

part #5 (09.02.02 02:10:00 - 09.02.02 09:25:00)


not saturated charging

[eps][pdf]

[eps][pdf]

part #6 (09.02.02 09:25:00 - 09.02.02 11:00:00)


different starting-values

[eps][pdf]

[eps][pdf]

part #7 (09.02.02 11:00:00 - 09.02.02 17:40:00)


going to very high densities (not in saturation)

[eps][pdf]

[eps][pdf]

AB (16 - 16) [eps][pdf]

part #8 (09.02.02 17:40:00 - 09.02.02 20:38:00)


and slowly removing the electrons

[eps][pdf]

[eps][pdf]

AB (18 - 18) [eps][pdf]

part #9 (09.02.02 20:40:00 - 10.02.02 03:50:00)


charge again (this time in saturation)

[eps][pdf]

[eps][pdf]

AB (20 - 20) [eps][pdf]

part #10 (10.02.02 03:50:00 - 10.02.02 06:40:00)


charge again

[eps][pdf]

[eps][pdf]

AB (21 - 21) [eps][pdf]

part #11 (10.02.02 06:40:00 - 10.02.02 18:00:00)


charge again (temperature changes mobility

[eps][pdf]

[eps][pdf]

AB (22 - 22) [eps][pdf]