measurement overview (27.01.02 14:00:00 - 28.01.02 13:03:49)

datafile has 45 columns
logfile


[eps][pdf]

[eps][pdf]

[eps][pdf]

helium level (27.01.02 14:00:00 - 28.01.02 13:03:49)


[eps][pdf]

[eps][pdf]

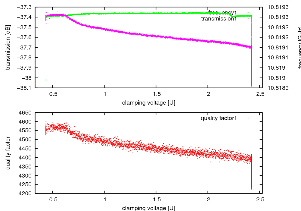
part #1 (27.01.02 13:36:30 - 27.01.02 13:57:00)


problems with the Silchem-substrates revealed?

[eps][pdf]

[eps][pdf]

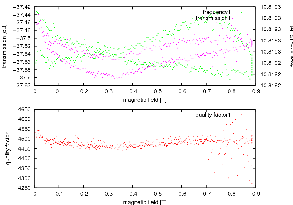
part #2 (27.01.02 15:35:00 - 27.01.02 23:30:00)


charging film

[eps][pdf]

[eps][pdf]

AB (4 - 4) [eps][pdf]

AB (6 - 6) [eps][pdf]

AB (7 - 8) [eps][pdf]

CR (9 - 10) [eps][pdf]

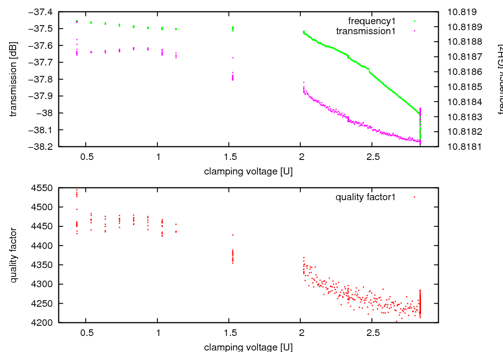
part #3 (27.01.02 23:30:00 - 28.01.02 08:10:00)


slowly charging film

[eps][pdf]

[eps][pdf]

AB (12 - 12) [eps][pdf]

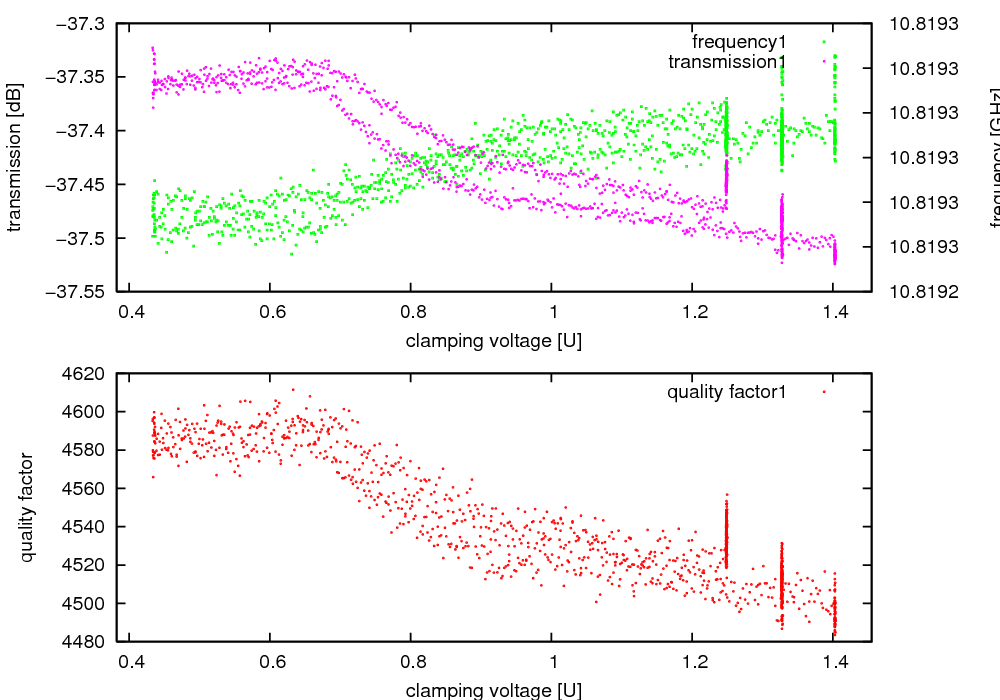
part #4 (28.01.02 08:10:00 - 28.01.02 09:30:00)


charging film quick

[eps][pdf]

[eps][pdf]

AB (13 - 13) [eps][pdf]