measurement overview (24.01.02 18:00:00 - 25.01.02 18:00:00)

datafile has 45 columns
logfile
measurement information
substrate #53 information


[eps][pdf]

[eps][pdf]

[eps][pdf]

helium level (24.01.02 18:00:00 - 25.01.02 18:00:00)


[eps][pdf]

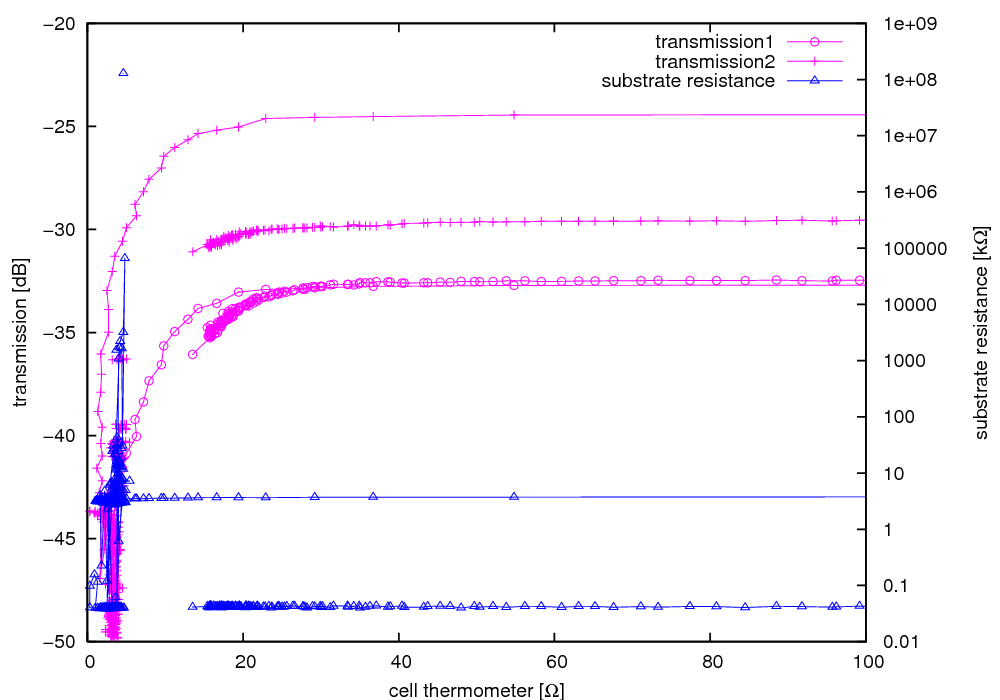
part #1 (25.01.02 11:35:00 - 25.01.02 11:47:00)


the resonance develops

[eps][pdf]

[eps][pdf]

part #2 (25.01.02 11:40:00 - 25.01.02 17:00:00)


[eps][pdf]

[eps][pdf]