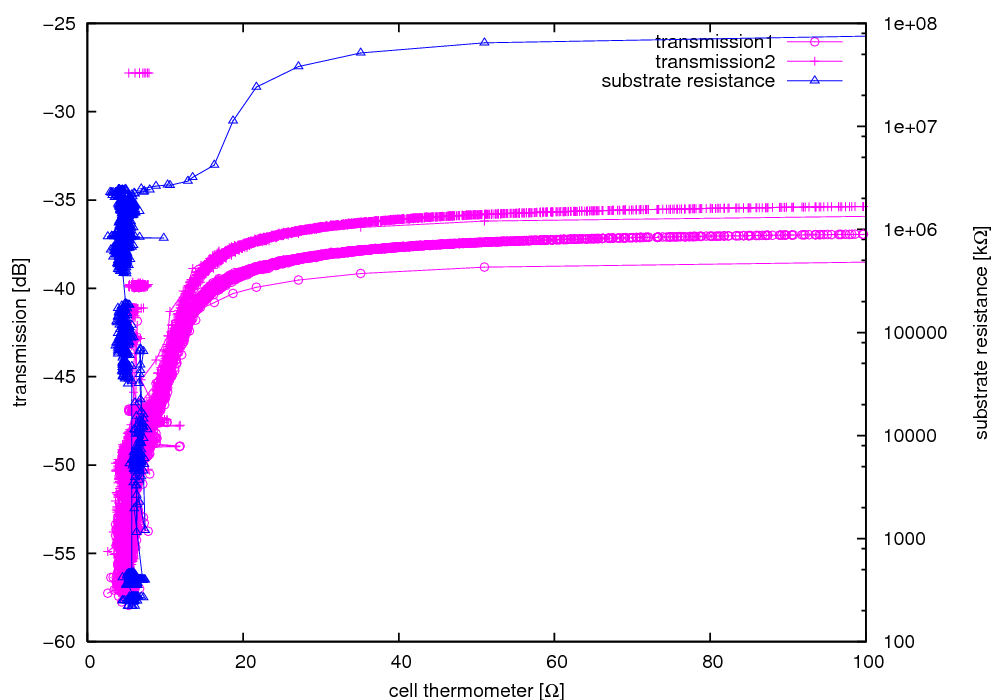
measurement overview (03.12.01 15:55:00 - 14.12.01 09:49:00)

datafile has 45 columns
logfile
measurement information
substrate #47 information


[eps][pdf]

[eps][pdf]

[eps][pdf]

helium level (03.12.01 15:55:00 - 14.12.01 09:49:00)


[eps][pdf]