measurement overview (24.09.01 18:00:00 - 25.09.01 09:30:00)

datafile has 45 columns
logfile
measurement information
substrate #40 information


[eps][pdf]

[eps][pdf]

[eps][pdf]

helium level (24.09.01 18:00:00 - 25.09.01 09:30:00)


[eps][pdf]

[eps][pdf]

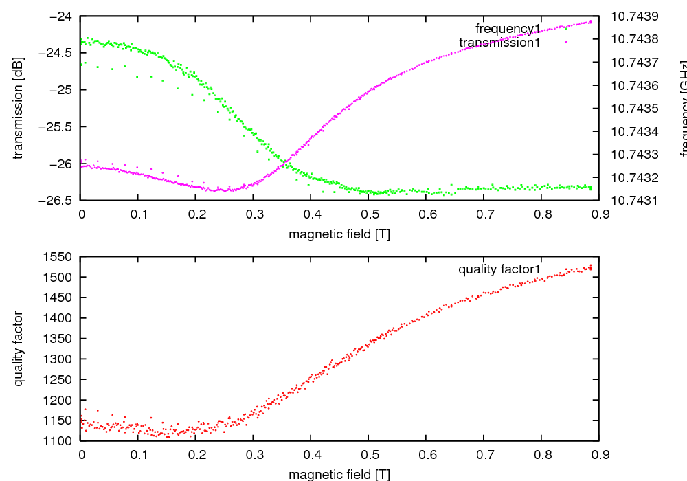
part #1 (24.09.01 17:00:00 - 24.09.01 18:00:00)


the resonance develops

[eps][pdf]

[eps][pdf]

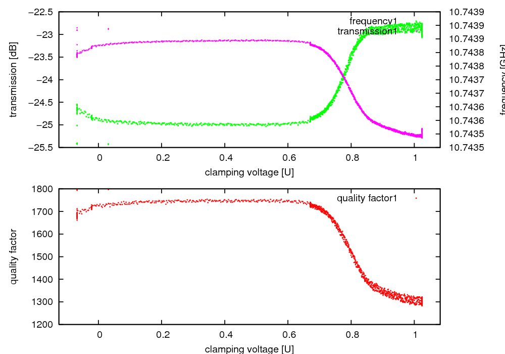
part #2 (24.09.01 20:54:31 - 25.09.01 00:43:16)


first film charging

[eps][pdf]

[eps][pdf]

AB (2 - 2) [eps][pdf]

AB (3 - 3) [eps][pdf]

AB (2 - 3) [eps][pdf]

part #3 (25.09.01 00:43:16 - 25.09.01 03:38:26)


further chargin

[eps][pdf]

[eps][pdf]

AB (5 - 5) [eps][pdf]

AB (6 - 6) [eps][pdf]

part #4 (25.09.01 03:38:26 - 25.09.01 08:37:39)


slow charging

[eps][pdf]

[eps][pdf]

AB on film (7 - 7) [eps][pdf]

part #5 (25.09.01 08:38:56 - 25.09.01 09:11:54)


do CR-sweep

[eps][pdf]

[eps][pdf]

CR on film (9 - 10) [eps][pdf]

part #6 (25.09.01 09:11:54 - 25.09.01 09:35:00)


remove electrons

[eps][pdf]

[eps][pdf]