measurement overview (15.09.01 13:45:00 - 17.09.01 11:00:00)

datafile has 44 columns
logfile
measurement information
substrate #39 information


[eps][pdf]

[eps][pdf]

[eps][pdf]

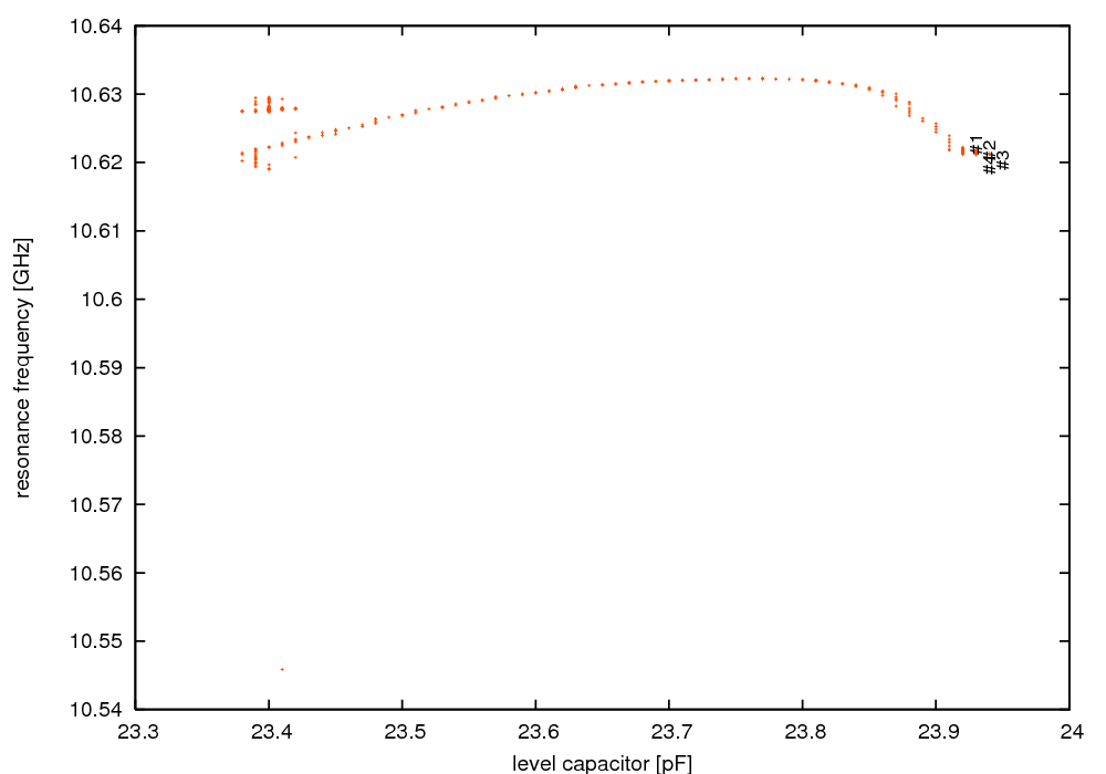
helium level (15.09.01 13:45:00 - 17.09.01 11:00:00)


[eps][pdf]

[eps][pdf]

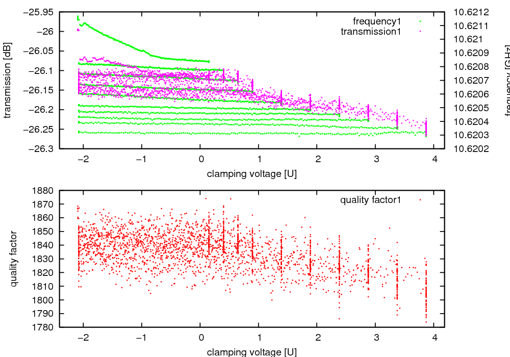
part #1 (15.09.01 15:30:00 - 15.09.01 23:13:00)


try to charge thin film

[eps][pdf]

[eps][pdf]

AB on thin film (2 - 11) [eps][pdf]

part #2 (16.09.01 00:07:00 - 16.09.01 08:47:00)


try to charge thin film #2

[eps][pdf]

[eps][pdf]

AB on thin film #2 (13 - 22) [eps][pdf]

part #3 (16.09.01 09:30:00 - 16.09.01 16:20:00)


try to charge thin film #3

[eps][pdf]

[eps][pdf]

part #4 (16.09.01 16:19:00 - 17.09.01 10:30:00)


charge overnight

[eps][pdf]

[eps][pdf]