measurement overview (21.08.01 10:30:00 - 22.08.01 06:00:00)

datafile has 43 columns
logfile
measurement information
substrate #none information


[eps][pdf]

[eps][pdf]

helium level (21.08.01 10:30:00 - 22.08.01 06:00:00)


[eps][pdf]

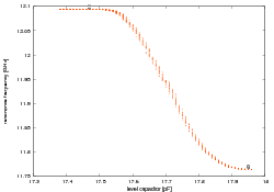
[eps][pdf]

part #1 (21.08.01 14:30:00 - 21.08.01 16:30:00)


filling the cell

[eps][pdf]

part #2 (21.08.01 18:00:00 - 21.08.01 22:30:00)


pumping the cell

[eps][pdf]