measurement overview (05.07.01 09:00:00 - 06.07.01 05:40:00)

datafile has 43 columns
logfile
measurement information
substrate #36 information


[eps][pdf]

[eps][pdf]

helium level (05.07.01 09:00:00 - 06.07.01 05:40:00)


[eps][pdf]

[eps][pdf]

part #1 (05.07.01 13:55:00 - 05.07.01 18:40:00)


[eps][pdf]

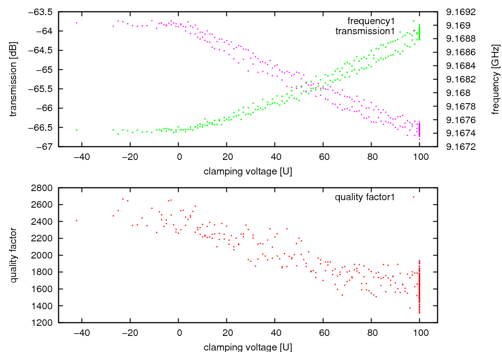
AB: 1 (3 - 3) [eps][pdf]

AB: 2 (5 - 5) [eps][pdf]

AB: 3 (6 - 6) [eps][pdf]

part #2 (05.07.01 18:50:00 - 05.07.01 23:30:00)


[eps][pdf]