measurement overview (12.03.01 17:00:00 - 14.03.01 02:00:00)

datafile has 43 columns
logfile
measurement information
substrate #34 information


[eps][pdf]

[eps][pdf]

helium level (12.03.01 17:00:00 - 14.03.01 02:00:00)


[eps][pdf]

[eps][pdf]

part #1 (12.03.01 17:20:00 - 12.03.01 18:52:00)


filling and pumping the full cell

[eps][pdf]

part #2 (12.03.01 19:00:00 - 12.03.01 20:35:00)


try to charge thin film manually

[eps][pdf]

part #3 (12.03.01 20:30:00 - 13.03.01 09:10:00)


try to charge thin film automatically

[eps][pdf]

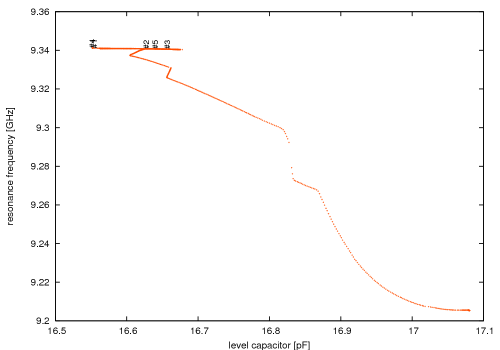
part #4 (13.03.01 12:50:00 - 13.03.01 15:10:00)


filling and pumping the cell

[eps][pdf]

part #5 (13.03.01 15:00:00 - 14.03.01 00:00:00)


make several tests

[eps][pdf]