measurement overview (12.02.01 18:00:00 - 14.02.01 17:50:00)

datafile has 43 columns
logfile
measurement information
substrate #33 information


[eps][pdf]

[eps][pdf]

helium level (12.02.01 18:00:00 - 14.02.01 17:50:00)


[eps][pdf]

[eps][pdf]

part #1 (12.02.01 08:00:00 - 12.02.01 19:00:00)


cooling down the cell

[eps][pdf]

part #2 (12.02.01 23:30:00 - 13.02.01 08:50:00)


try to charge thin film 1

[eps][pdf]

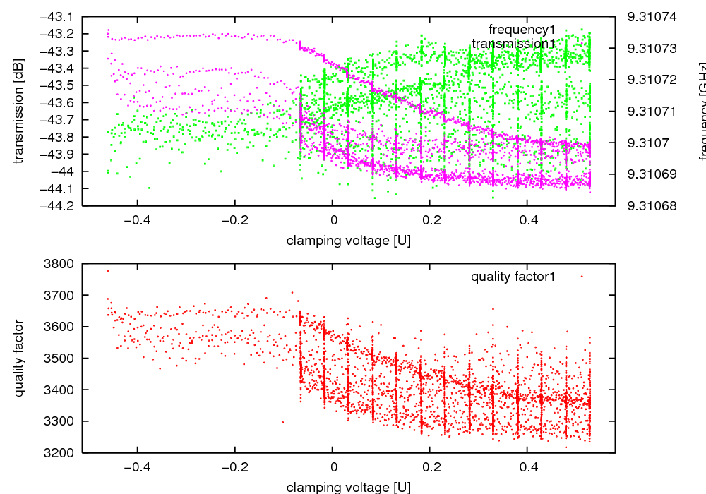
AB on thin film (3 - 16) [eps][pdf]

part #3 (13.02.01 11:18:00 - 13.02.01 13:40:00)


try to charge thin film 2

[eps][pdf]

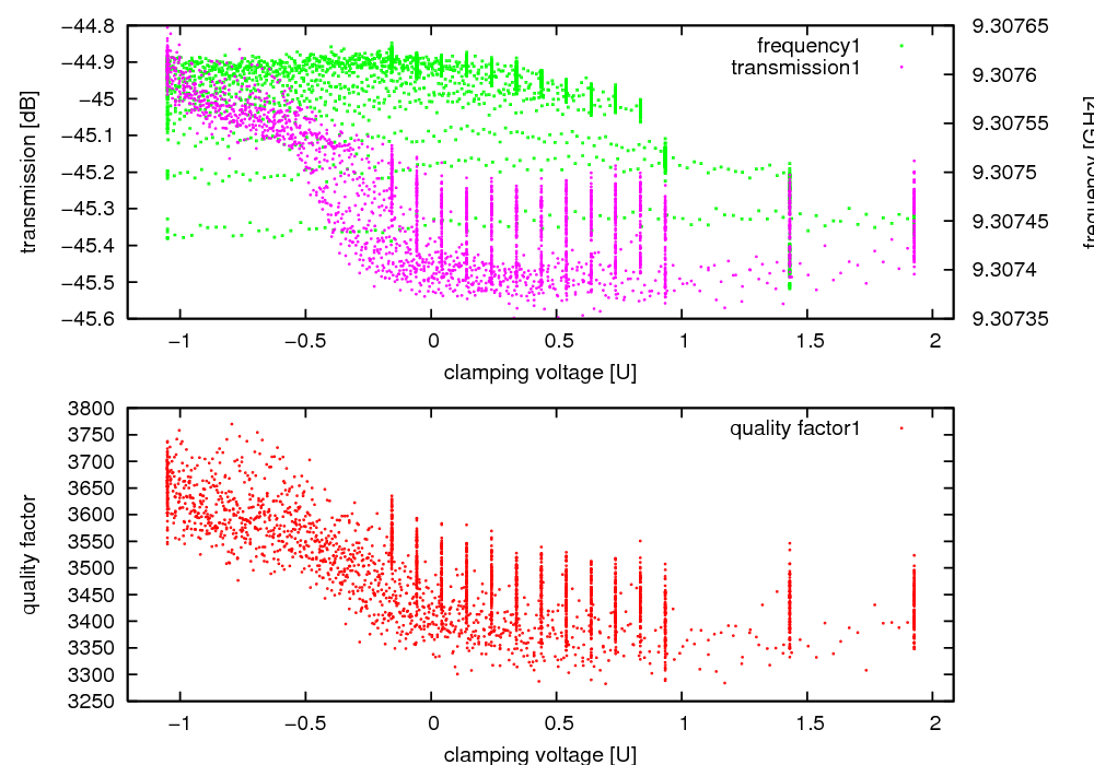
AB on thin film (21 - 26) [eps][pdf]

part #4 (13.02.01 13:40:00 - 13.02.01 14:25:00)


CR on thin film

[eps][pdf]

CR on thin film (28 - 29) [eps][pdf]

part #5 (13.02.01 14:25:00 - 13.02.01 22:40:00)


charge at different temperatures

[eps][pdf]

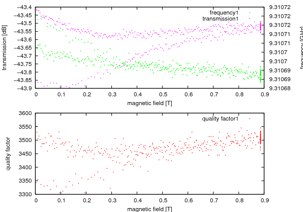
AB at different temperatures (31 - 37) [eps][pdf]

part #6 (13.02.01 22:39:00 - 13.02.01 23:40:00)


charge without sweeping U_clamp

[eps][pdf]

part #7 (14.02.01 03:41:00 - 14.02.01 13:12:00)


trying different MW-power settings

[eps][pdf]

AB at different MW-power settings (44 - 50) [eps][pdf]

part #8 (14.02.01 13:12:00 - 14.02.01 13:52:00)


what happened here?

[eps][pdf]

part #9 (14.02.01 13:52:00 - 14.02.01 15:33:00)


CR on thin film 2

[eps][pdf]

CR on thin film 2 (54 - 54) [eps][pdf]

part #10 (14.02.01 15:58:00 - 14.02.01 17:30:00)


try to charge 'till 10V clamping voltage

[eps][pdf]

AB to higher electron densities (56 - 56) [eps][pdf]

AB to much higher electron densities (56 - 57) [eps][pdf]