measurement overview (14.12.00 09:11:24 - 15.12.00 04:00:00)

datafile has 40 columns
logfile
measurement information
substrate #30 information


[eps][pdf]

[eps][pdf]

helium level (14.12.00 09:11:24 - 15.12.00 04:00:00)


[eps][pdf]

part #1 (14.12.00 11:18:00 - 14.12.00 12:30:00)


try to charge thin film

[eps][pdf]

AB charging thin film (3 - 3) [eps][pdf]

part #2 (14.12.00 12:30:00 - 14.12.00 13:45:00)


do CR sweep

[eps][pdf]

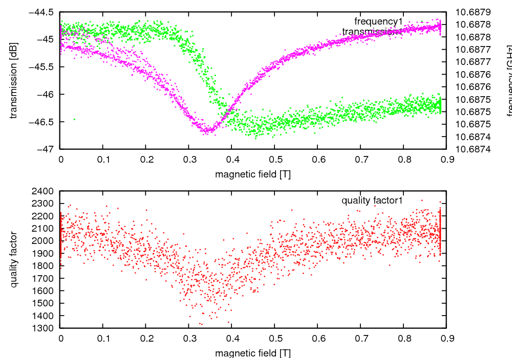
CR on thin film (4 - 5) [eps][pdf]

part #3 (14.12.00 13:45:00 - 14.12.00 13:58:00)


pump on cell

[eps][pdf]

part #4 (14.12.00 13:58:00 - 14.12.00 14:42:00)


charge thin film and do CR sweep

[eps][pdf]

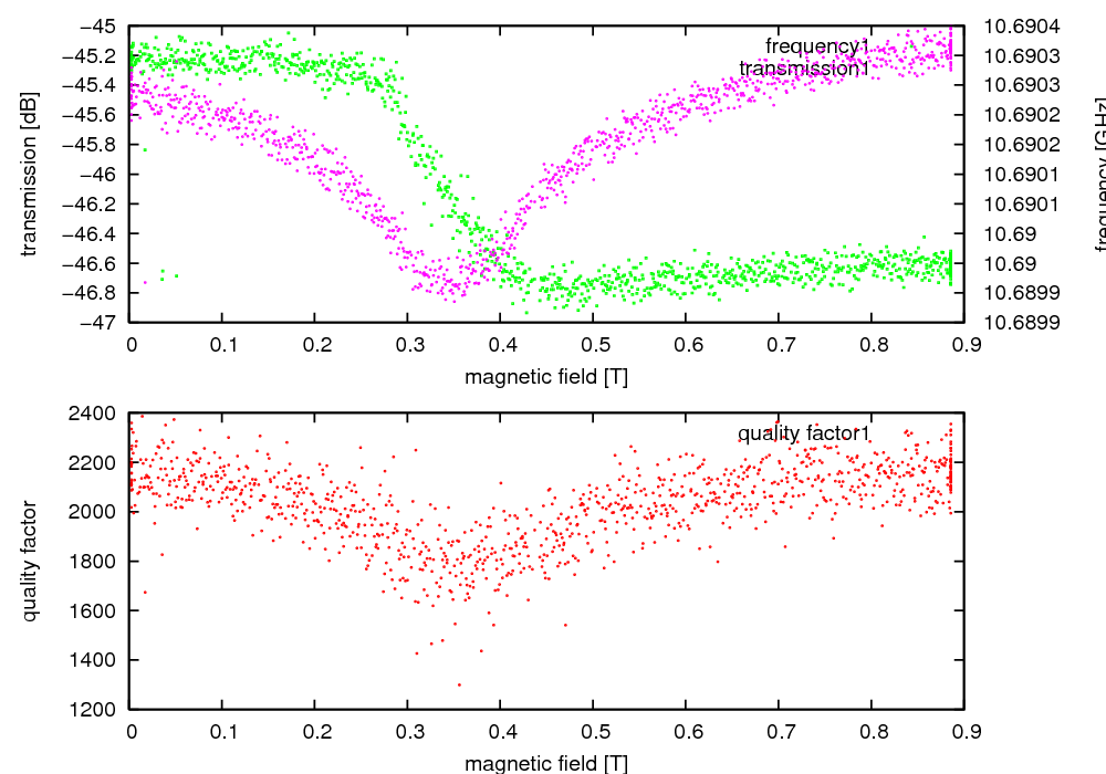
CR on thin film (9 - 10) [eps][pdf]

part #5 (14.12.00 14:42:00 - 14.12.00 22:00:00)


charge thin film

[eps][pdf]

AB charge thin film (12 - 22) [eps][pdf]