measurement overview (07.09.00 08:20:00 - 07.09.00 18:00:00)

datafile has 41 columns
logfile


[eps][pdf]

[eps][pdf]

[eps][pdf]

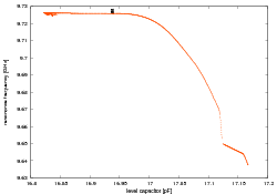
helium level (07.09.00 08:20:00 - 07.09.00 18:00:00)


[eps][pdf]

[eps][pdf]

part #1 (07.09.00 11:10:00 - 07.09.00 11:39:40)


trying to put electrons on thin film

[eps][pdf]

[eps][pdf]

part #2 (07.09.00 11:10:00 - 07.09.00 11:30:00)


detail: first try on thin film

[eps][pdf]

[eps][pdf]

part #3 (07.09.00 11:37:20 - 07.09.00 11:40:00)


detail: when the filament died

[eps][pdf]

[eps][pdf]

part #4 (07.09.00 11:50:00 - 07.09.00 13:20:00)


filling the cell

[eps][pdf]

[eps][pdf]