measurement overview (01.09.00 09:00:00 - 02.09.00 03:00:00)

datafile has 41 columns
logfile


[eps][pdf]

[eps][pdf]

[eps][pdf]

helium level (01.09.00 09:00:00 - 02.09.00 03:00:00)


[eps][pdf]

[eps][pdf]

part #1 (01.09.00 10:30:00 - 01.09.00 12:15:00)


filling the cell

[eps][pdf]

[eps][pdf]

part #2 (01.09.00 12:15:00 - 01.09.00 14:52:00)


bulk measurements

[eps][pdf]

[eps][pdf]

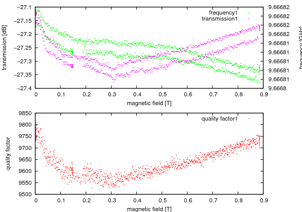
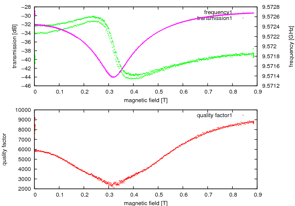
CR: maximal e-density (2 - 3) [eps][pdf]

CR: smaller e-density (5 - 6) [eps][pdf]

part #3 (01.09.00 14:52:00 - 01.09.00 15:30:00)


pumping the cell

[eps][pdf]

CR: without electrons (8 - 9) [eps][pdf]

part #4 (01.09.00 15:45:00 - 01.09.00 19:00:00)


film measurements

[eps][pdf]

AB: increase e-density (12 - 15) [eps][pdf]

AB: manually try to increase e-density (18 - 19) [eps][pdf]

part #5 (01.09.00 19:00:00 - 01.09.00 19:20:00)


pumping the cell

[eps][pdf]

part #6 (01.09.00 19:20:00 - 01.09.00 21:00:00)


film measurements

[eps][pdf]

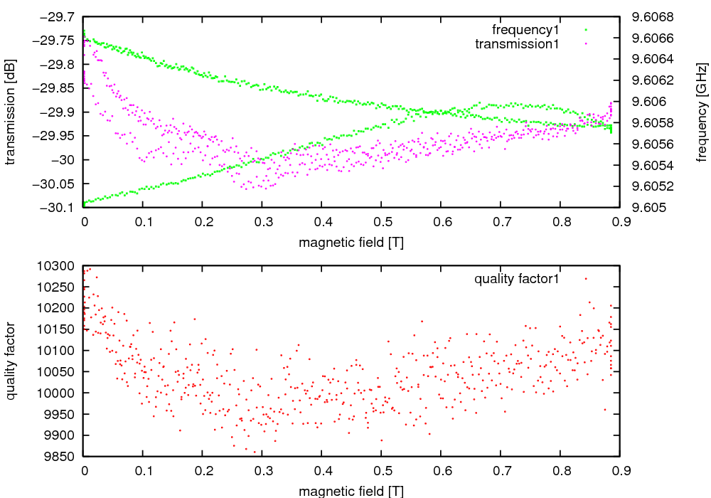
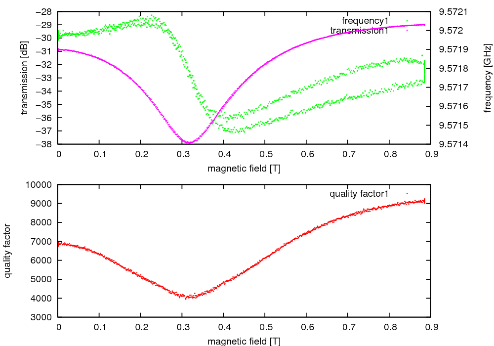
CR: first film CR (21 - 22) [eps][pdf]

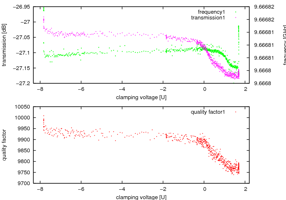
AB: try to put electrons on the film (23 - 23) [eps][pdf]

CR: second CR measurement (24 - 25) [eps][pdf]

part #7 (01.09.00 21:00:00 - 01.09.00 21:50:00)


pumping the cell

[eps][pdf]

part #8 (01.09.00 21:40:00 - 01.09.00 23:35:00)


film measurements

[eps][pdf]

[eps][pdf]

AB: trying to put electrons on the thinner film (28 - 28) [eps][pdf]

CR: (29 - 30) [eps][pdf]