measurement overview (27.08.00 16:47:29 - 28.08.00 13:52:36)

datafile has 41 columns


[eps][pdf]

[eps][pdf]

[eps][pdf]

helium level (27.08.00 16:47:29 - 28.08.00 13:52:36)


[eps][pdf]

[eps][pdf]

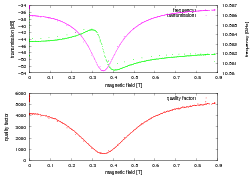
part #1 (27.08.00 19:25:00 - 27.08.00 21:30:00)


cyclotron resonance on bulk He (Uhold(crit) approx. 60V)

[eps][pdf]

[eps][pdf]

CR: bulk (3 - 4) [eps][pdf]

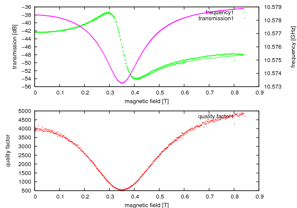
part #2 (28.08.00 00:37:00 - 28.08.00 01:28:00)


cyclotron resonance on bulk He (Uhold(crit) approx. 17V)

[eps][pdf]

[eps][pdf]

CR: bulk2 (7 - 7) [eps][pdf]

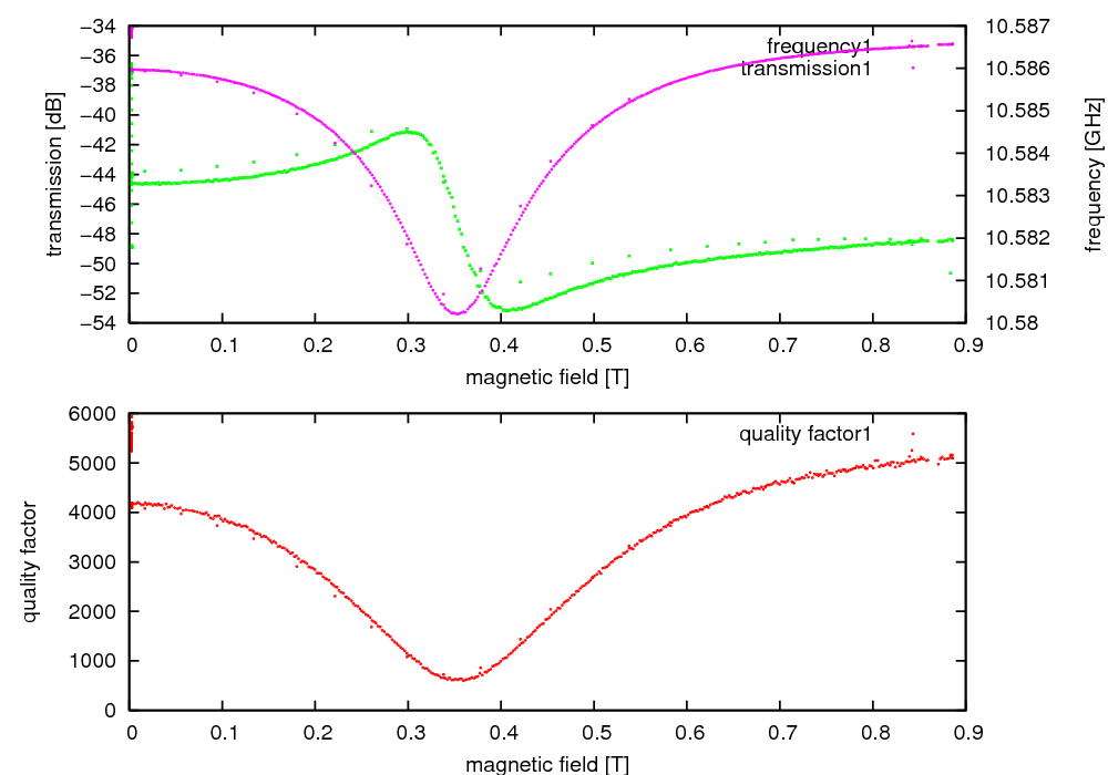
part #3 (28.08.00 01:27:00 - 28.08.00 02:20:30)


cyclotron resonance on bulk He (Uhold(crit) approx. 0.9V)

[eps][pdf]

[eps][pdf]

CR: smallbulk (8 - 8) [eps][pdf]