measurement overview (21.06.00 00:00:00 - 22.06.00 10:00:00)

datafile has 31 columns
logfile


[eps][pdf]

[eps][pdf]

helium level (21.06.00 00:00:00 - 22.06.00 10:00:00)


[eps][pdf]

part #1 (21.06.00 00:00:00 - 21.06.00 10:30:00)


[eps][pdf]

[eps][pdf]

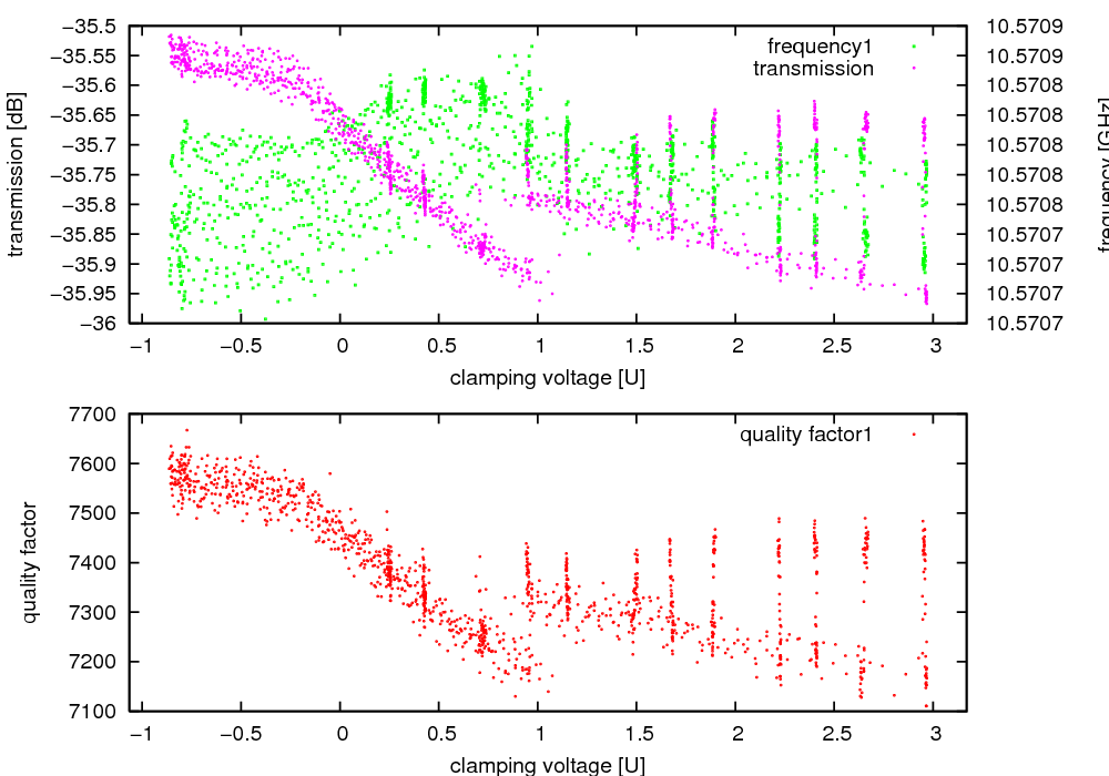
part #2 (21.06.00 12:00:00 - 21.06.00 23:00:00)


2nd try

[eps][pdf]

[eps][pdf]

AB (2 - 19) [eps][pdf]

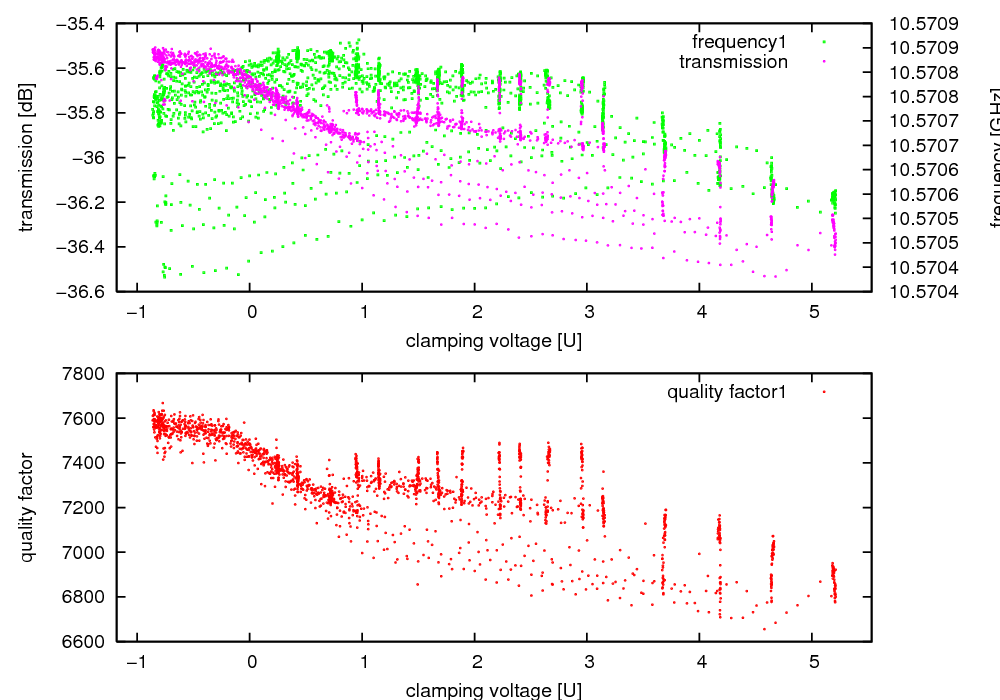
part #3 (22.06.00 01:30:00 - 22.06.00 10:10:00)


3rd try

[eps][pdf]

[eps][pdf]

AB (21 - 33) [eps][pdf]

AB: complete (21 - 38) [eps][pdf]