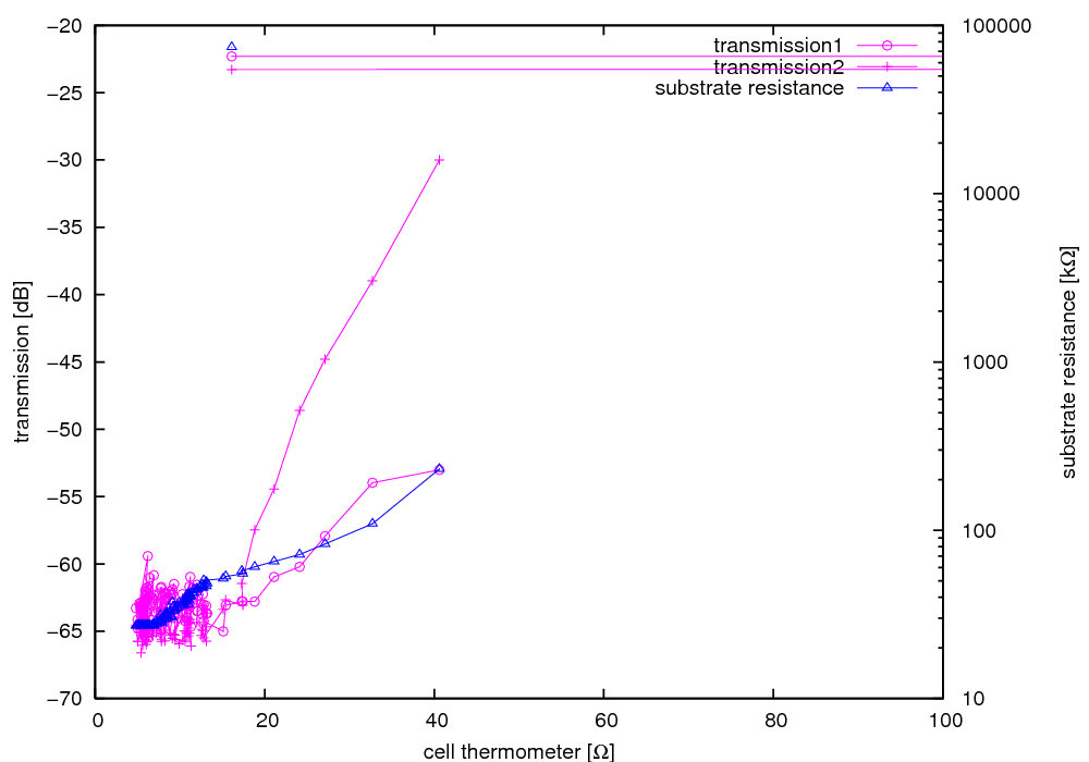
measurement overview (19.04.00 12:01:08 - 20.04.00 14:06:35)

datafile has 27 columns


[eps][pdf]

[eps][pdf]

[eps][pdf]

helium level (19.04.00 12:01:08 - 20.04.00 14:06:35)


[eps][pdf]

[eps][pdf]