measurement overview (13.04.00 17:47:21 - 17.04.00 21:10:20)

datafile has 27 columns


[eps][pdf]

[eps][pdf]

[eps][pdf]

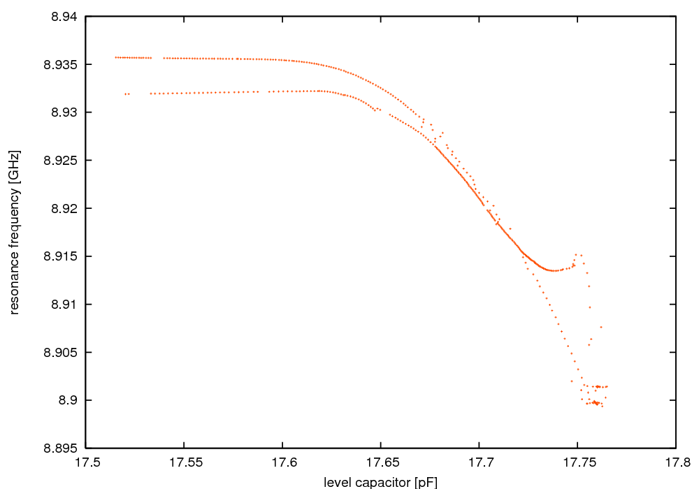
helium level (13.04.00 17:47:21 - 17.04.00 21:10:20)


[eps][pdf]

[eps][pdf]